Spatio-temporal Models

Lecture 24

Dr. Colin Rundel

Spatial Models with
AR time dependence

Example - Weather station data

NETemp.dat - Monthly temperature data (Celsius) recorded across the Northeastern US starting in January 2000.

# A tibble: 34 × 27
       x     y  elev    t_1   t_2    t_3   t_4   t_5   t_6   t_7   t_8
   <dbl> <dbl> <int>  <dbl> <dbl>  <dbl> <dbl> <dbl> <dbl> <dbl> <dbl>
 1  6.09  3.20   102  -6.39 -3.61  3.72   6.78 12.6   18.4  20    20.1
 2  6.25  3.26     1  -6.28 -4.11  2.61   6.56 11.4   16.8  18.4  18.7
 3  6.16  3.48   157 -11.1  -9.44 -0.389  3.94  9.89  15.4  17.5  17.4
 4  6.12  3.53   176 -11.6  -9.72 -1.17   2.89  9.67  14.8  17.4  16.9
 5  6.00  3.28   400 -12.6  -9.06 -1.61   2.56  8.56  14.3  15.9  15.8
 6  6.05  3.23   133  -9.11 -6.39  1.22   4.94 10.9   15.9  17.3  17.6
 7  6.10  3.18    56  -7.94 -6.06  2.06   5.56 11.1   17    18.6  18.8
 8  6.07  3.14    59  -6.56 -3.5   3.17   6.17 11.5   17.4  19.1  19.4
 9  6.17  3.46   160  -9.94 -8.94 -0.278  3.56  9.61  15.3  17.7  17.3
10  6.01  3.33   360 -12.3  -9.44 -1.5    2.94  9     14.5  17    16.9
# … with 24 more rows, and 16 more variables: t_9 <dbl>, t_10 <dbl>,
#   t_11 <dbl>, t_12 <dbl>, t_13 <dbl>, t_14 <dbl>, t_15 <dbl>,
#   t_16 <dbl>, t_17 <dbl>, t_18 <dbl>, t_19 <dbl>, t_20 <dbl>,
#   t_21 <dbl>, t_22 <dbl>, t_23 <dbl>, t_24 <dbl>

Dynamic Linear / State Space Models (time)

\[ \begin{aligned} \underset{1\times1}{{y}_t} &= \underset{1 \times p}{\boldsymbol{F}'_t} ~ \underset{p \times 1}{\boldsymbol{\theta}_t} + {{v}_t} &\qquad\qquad\text{observation equation}\\ \underset{p\times 1}{\boldsymbol{\theta}_t} &= \underset{p \times p}{\boldsymbol{G}_t} ~ \underset{p \times 1}{\boldsymbol{\theta}_{t-1}}+ \underset{p \times 1}{\boldsymbol{\omega}_t} &\qquad\qquad\text{evolution equation}\\ \end{aligned} \]

\[ \begin{aligned} \boldsymbol{v}_t &\sim \mathcal{N}(0,\boldsymbol{V}_t) \\ \boldsymbol{\omega}_t &\sim \mathcal{N}(0,\boldsymbol{W}_t) \\ \end{aligned} \]

DLM vs ARMA

ARMA / ARIMA are special cases of the more general dynamic linear model framework, for example an \(AR(p)\) can be written as

\[ F_t' = (1, 0, \ldots, 0) \] \[ G_t = \begin{pmatrix} \phi_1 & \phi_2 & \cdots & \phi_{p-1} & \phi_p \\ 1 & 0 & \cdots & 0 & 0 \\ 0 & 1 & \cdots & 0 & 0 \\ \vdots & \vdots & \ddots & \vdots & 0 \\ 0 & 0 & \cdots & 1 & 0 \\ \end{pmatrix} \] \[ \begin{aligned} \omega_t &= (\omega_1, 0, \ldots, 0), \quad &\omega_1 \sim \mathcal{N}(0,\,\sigma^2) \end{aligned} \]

\[ \begin{aligned} y_t &= \theta_t + v_t \\ \theta_t &= \sum_{i=1}^p \phi_i\, \theta_{t-i} + \omega_1 \\ v_t &\sim \mathcal{N}(0,\, \sigma^2_v) \\ \omega_1 &\sim \mathcal{N}(0,\, \sigma^2_\omega) \\ \end{aligned} \]

Dynamic spatio-temporal model

The observed temperature at time \(t\) and location \(s\) is given by \(y_t(s)\) where,

\[ \begin{aligned} y_t(\boldsymbol{s}) & = \boldsymbol{x}_t(\boldsymbol{s})\boldsymbol{\beta}_t + u_t(\boldsymbol{s}) + \epsilon_t(\boldsymbol{s}) \\ \epsilon_t(\boldsymbol{s}) &\stackrel{ind}\sim \mathcal{N}(0,\tau_{t}^2) \\ \\ \boldsymbol{\beta}_t & = \boldsymbol{\beta}_{t-1} + \boldsymbol{\eta}_t \\ \boldsymbol{\eta}_t &\stackrel{i.i.d.}\sim \mathcal{N}(0,\boldsymbol{\Sigma}_{\eta}) \\ \\ u_t(\boldsymbol{s}) &= u_{t-1}(\boldsymbol{s}) + w_t(\boldsymbol{s}) \\ w_t(\boldsymbol{s}) &\stackrel{ind.}{\sim} \mathcal{N}\left(\boldsymbol{0}, \Sigma_t(\phi_t, \sigma^2_t)\right) \end{aligned} \]

Additional assumptions for \(t=0\),

\[ \begin{aligned} \boldsymbol{\beta}_{0} &\sim \mathcal{N}(\boldsymbol{\mu}_0, \boldsymbol{\Sigma}_0) \\ u_{0}(\boldsymbol{s}) &= 0 \end{aligned} \]

Variograms by time

Data and Model Parameters

Data:

max_d = coords %>% dist() %>% max()
n_t = 24
n_s = nrow(ne_temp)

Parameters:

n_beta = 2
starting = list(
  beta = rep(0, n_t * n_beta), phi = rep(3/(max_d/4), n_t),
  sigma.sq = rep(1, n_t), tau.sq = rep(1, n_t), 
  sigma.eta = diag(0.01, n_beta)
)
tuning = list(phi = rep(1, n_t))
priors = list(
  beta.0.Norm = list(rep(0, n_beta), diag(1000, n_beta)), 
  phi.Unif = list(rep(3/(0.9 * max_d), n_t), rep(3/(0.05 * max_d), n_t)), 
  sigma.sq.IG = list(rep(2, n_t), rep(2, n_t)), 
  tau.sq.IG = list(rep(2, n_t), rep(2, n_t)),
  sigma.eta.IW = list(2, diag(0.001, n_beta))
)

Fitting with spDynLM from spBayes

n_samples = 10000
models = lapply(paste0("t_",1:24, "~elev"), as.formula)

m = spBayes::spDynLM(
  models, data = ne_temp, coords = coords, get.fitted = TRUE,
  starting = starting, tuning = tuning, priors = priors,
  cov.model = "exponential", n.samples = n_samples, n.report = 1000
)

##  ----------------------------------------
##      General model description
##  ----------------------------------------
##  Model fit with 34 observations in 24 time steps.
##  
##  Number of missing observations 0.
##  
##  Number of covariates 2 (including intercept if specified).
##  
##  Using the exponential spatial correlation model.
##  
##  Number of MCMC samples 10000.
##
##  ...

Posterior Inference - \(\beta\)s

Posterior Inference - \(\theta\)

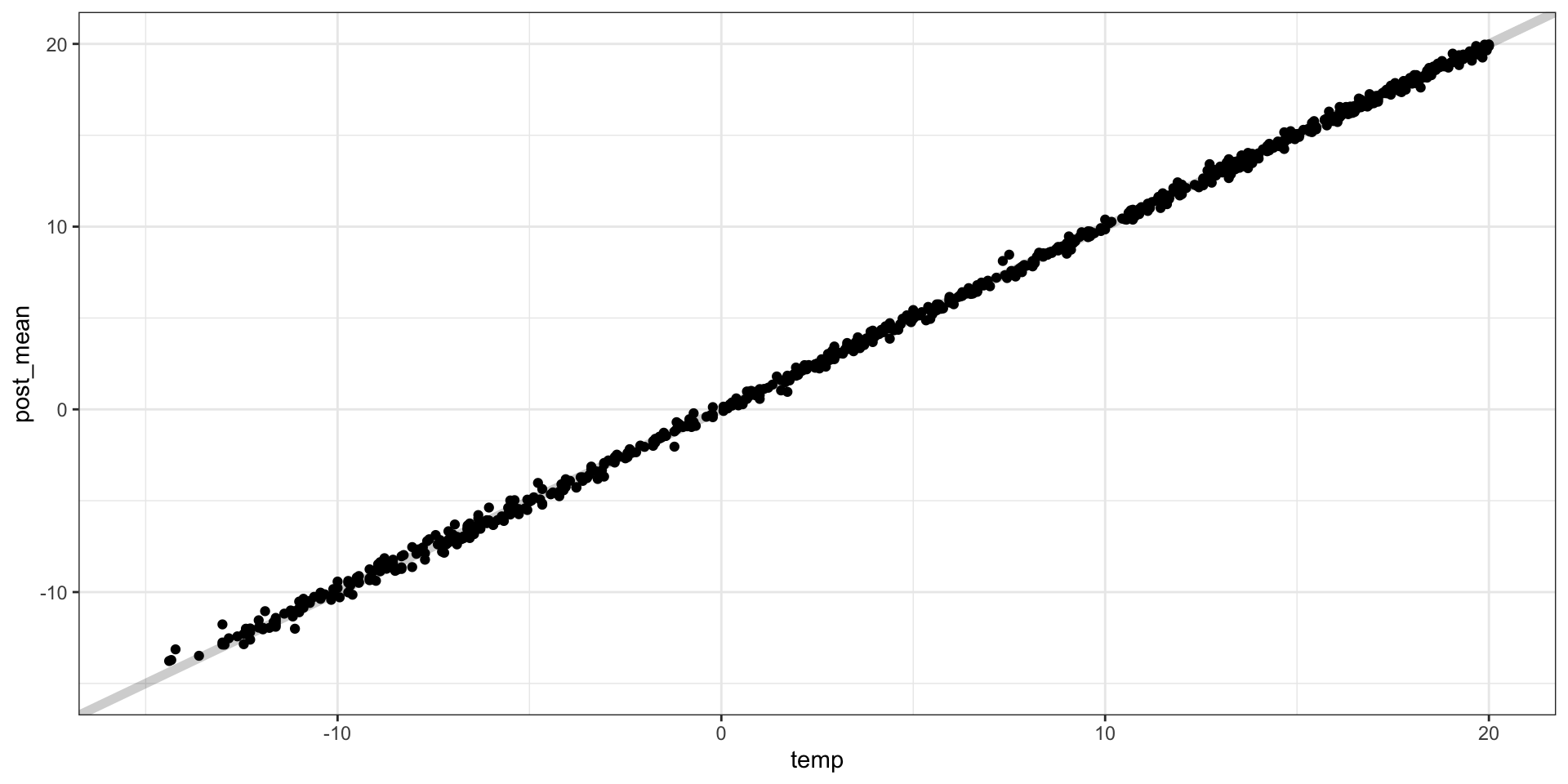
Posterior Inference - Observed vs. Predicted

Prediction

spPredict does not support spDynLM objects but it will impute missing values.

r = raster(xmn=5750, xmx=6300, ymn=3000, ymx=3550, nrow=20, ncol=20)

pred = xyFromCell(r, 1:length(r)) %>% 
  as.data.frame() %>%
  mutate(type="pred") %>%
  bind_rows(
    ne_temp %>% mutate(type = "obs"),
    .
  )

models_pred = lapply(paste0("t_",1:n_t, "~1"), as.formula)

n_samples = 5000
m_pred = spBayes::spDynLM(
  models_pred, data = pred, coords = coords_pred, get.fitted = TRUE,
  starting = starting, tuning = tuning, priors = priors,
  cov.model = "exponential", n.samples = n_samples, n.report = 1000)

## ----------------------------------------
##  General model description
## ----------------------------------------
## Model fit with 434 observations in 24 time steps.
## 
## Number of missing observations 9600.
## 
## Number of covariates 1 (including intercept if specified).
## 
## Using the exponential spatial correlation model.
## 
## Number of MCMC samples 5000.

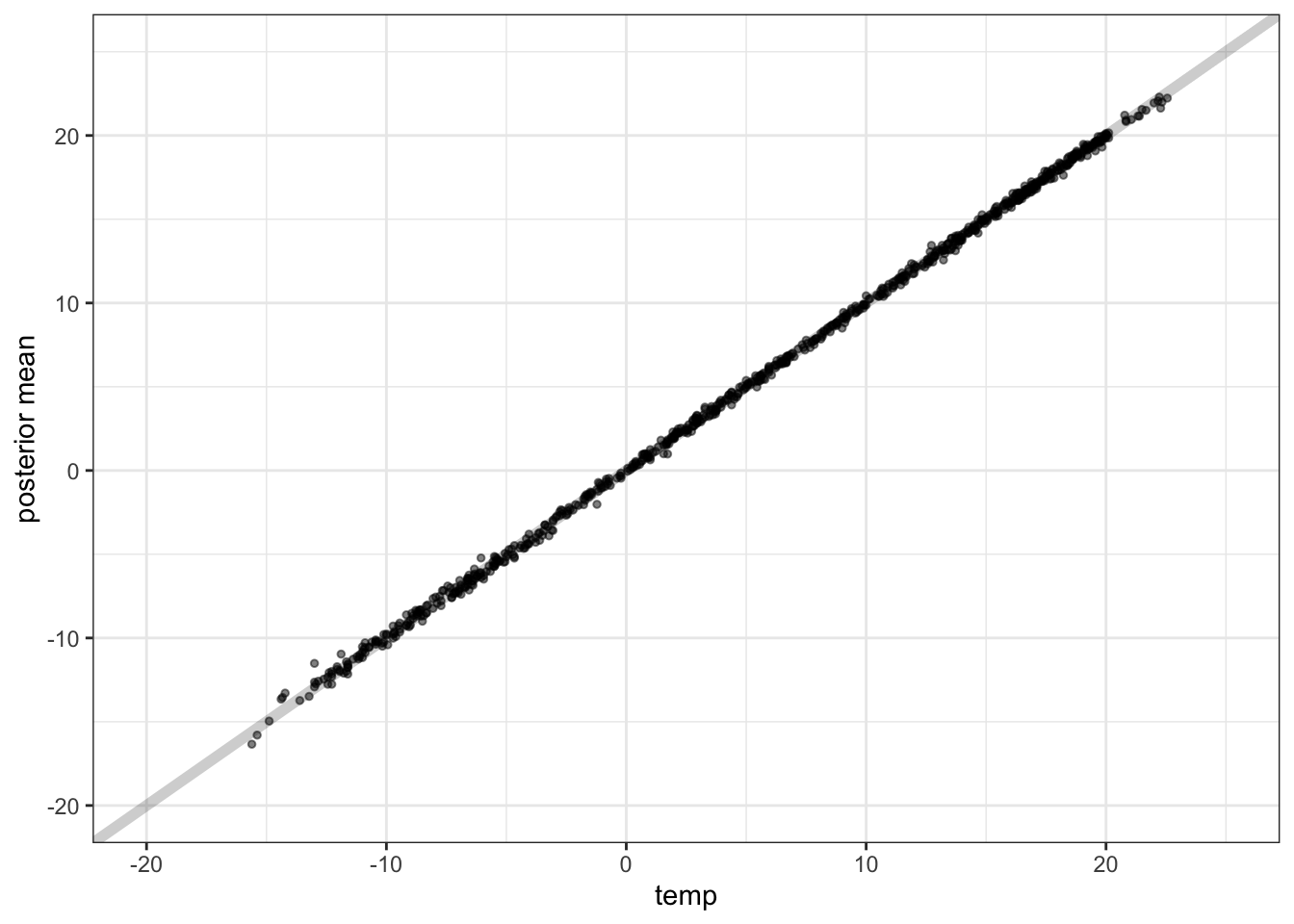
Predictive performance

Predictive surfaces

Out-of-sample validation

# A tibble: 34 × 29
       x     y  elev type  station    t_1  t_10   t_11   t_12   t_13
   <dbl> <dbl> <int> <chr>   <int>  <dbl> <dbl>  <dbl>  <dbl>  <dbl>
 1  6.09  3.20   102 test        1  NA    NA    NA      NA     NA   
 2  6.25  3.26     1 train       2  -6.28  8.89  3.89   -4.22  -7.11
 3  6.16  3.48   157 train       3 -11.1   6.44  1.94   -8.72 -11.6 
 4  6.12  3.53   176 train       4 -11.6   5.94  1.67   -9.17 -11.8 
 5  6.00  3.28   400 train       5 -12.6   5.67  0.278 -10.7  -11.9 
 6  6.05  3.23   133 train       6  -9.11  7.56  2.44   -7.11  -9.44
 7  6.10  3.18    56 test        7  NA    NA    NA      NA     NA   
 8  6.07  3.14    59 train       8  -6.56  9.61  4.17   -4.89  -6.06
 9  6.17  3.46   160 train       9  -9.94  6.67  1.72   -8.44 -12.1 
10  6.01  3.33   360 train      10 -12.3   6.39  0.944 -10.6  -11.6 
# … with 24 more rows, and 19 more variables: t_14 <dbl>, t_15 <dbl>,
#   t_16 <dbl>, t_17 <dbl>, t_18 <dbl>, t_19 <dbl>, t_2 <dbl>,
#   t_20 <dbl>, t_21 <dbl>, t_22 <dbl>, t_23 <dbl>, t_24 <dbl>,
#   t_3 <dbl>, t_4 <dbl>, t_5 <dbl>, t_6 <dbl>, t_7 <dbl>, t_8 <dbl>,
#   t_9 <dbl>

Spatio-temporal models for continuous time

Additive Models

In general, spatiotemporal models will have a form like the following,

\[ \begin{aligned} y(\boldsymbol{s},{t}) &= \underset{\text{mean structure}}{\mu(\boldsymbol{s},{t})} + \underset{\text{error structure}}{{e}(\boldsymbol{s},{t})} \\ &= \underset{\text{Regression}}{\boldsymbol{x}(\boldsymbol{s},{t}) \, \boldsymbol{\beta}(\boldsymbol{s},{t})} + \underset{\text{Spatiotemporal RE}}{{w}(\boldsymbol{s},{t})} + \underset{\text{White Noise}}{\epsilon(\boldsymbol{s},{t})} \end{aligned} \]

The simplest possible spatiotemporal model is one where we assume there is no dependence between observations in space and time,

\[ w(\boldsymbol{s},t) = \alpha(t) + \omega(\boldsymbol{s}) \]

these are straight forward to fit and interpret but are quite limiting (no shared information between space and time).

Spatiotemporal Covariance

Lets assume that we want to define our spatiotemporal random effect to be a single stationary Gaussian Process (in 3 dimensions\(^\star\)), \[ \boldsymbol{w}(\boldsymbol{s},\boldsymbol{t}) \sim \mathcal{N}\big(\boldsymbol{0}, \boldsymbol{\Sigma}(\boldsymbol{s},\boldsymbol{t})\big) \] where our covariance function depends on both \(\lVert s-s'\rVert\) and \(\lvert t-t'\rvert\), \[ \text{cov}(\boldsymbol{w}(\boldsymbol{s},\boldsymbol{t}), \boldsymbol{w}(\boldsymbol{s}',\boldsymbol{t}')) = c(\lVert s-s'\rVert, \lvert t-t'\rvert) \]

  • Note that the resulting covariance matrix \(\Sigma\) will be of size \(n_s \cdot n_t \times n_s \cdot n_t\).

    • Even for modest problems this gets very large (past the point of direct computability).

    • If \(n_t = 52\) and \(n_s = 100\) we have to work with a \(5200 \times 5200\) covariance matrix

Separable Models

One solution is to use a seperable form, where the covariance is the product of a valid 2d spatial and a valid 1d temporal covariance / correlation function, \[ \text{cov}(\boldsymbol{w}(\boldsymbol{s},\boldsymbol{t}), \boldsymbol{w}(\boldsymbol{s}',\boldsymbol{t}')) = \sigma^2 \, \rho_1(\lVert \boldsymbol{s}-\boldsymbol{s}'\rVert;\boldsymbol{\theta}) \, \rho_2(\lvert \boldsymbol{t}-\boldsymbol{t}' \rvert; \boldsymbol{\phi}) \]

If we define our observations as follows (stacking time locations within spatial locations)

\[ \boldsymbol{w}(\boldsymbol{s},\boldsymbol{t}) = \big( w(\boldsymbol{s}_1,t_1) ,\, \cdots ,\, w(\boldsymbol{s}_1,t_{n_t}) ,\, \cdots ,\, w(\boldsymbol{s}_{n_s},t_1) ,\, \cdots ,\, w(\boldsymbol{s}_{n_s},t_{n_t}) \big)^t \]

then the covariance can be written as

\[ \underset{n_s n_t \,\times\, n_s n_t}{\boldsymbol{\Sigma}_w(\sigma^2, \theta, \phi)} = \sigma^2 \, \underset{n_s \,\times\, n_s}{\boldsymbol{H}_s(\theta)} \otimes \underset{n_t \,\times\, n_t}{\boldsymbol{H}_t(\phi)} \]

where \(\boldsymbol{H}_s(\theta)\) and \(\boldsymbol{H}_t(\theta)\) are correlation matrices defined by

\[ \begin{aligned} \{\boldsymbol{H}_s(\theta)\}_{ij} &= \rho_1(\lVert \boldsymbol{s}_i - \boldsymbol{s}_j \rVert; \theta) \\ \{\boldsymbol{H}_t(\phi)\}_{ij} &= \rho_2(\lvert t_i - t_j \rvert; \phi) \\ \end{aligned} \]

Kronecker Product

Definition:

\[ \begin{aligned} \underset{[m \times n]}{\boldsymbol{A}} \otimes \underset{[p \times q]}{\boldsymbol{B}} = \underset{[m \cdot p \times n \cdot q]}{\begin{pmatrix} a_{11} \boldsymbol{B} & \cdots & a_{1n} \boldsymbol{B} \\ \vdots & \ddots & \vdots \\ a_{m1} \boldsymbol{B} & \cdots & a_{mn} \boldsymbol{B} \\ \end{pmatrix}} \end{aligned} \]

Properties:

\[ \begin{aligned} \boldsymbol{A} \otimes \boldsymbol{B} &\ne \boldsymbol{B} \otimes \boldsymbol{A} \qquad\text{(usually)} \\ (\boldsymbol{A} \otimes \boldsymbol{B})^t &= \boldsymbol{A}^t \otimes \boldsymbol{B}^t \\ \\ \det(\boldsymbol{A} \otimes \boldsymbol{B}) &= \det(\boldsymbol{B} \otimes \boldsymbol{A}) \\ &=\det(\boldsymbol{A})^{\text{rank}(\boldsymbol{B})} \det(\boldsymbol{B})^{\text{rank}(\boldsymbol{A})} \\ \\ (\boldsymbol{A} \otimes \boldsymbol{B})^{-1} &= \boldsymbol{A}^{-1} \otimes \boldsymbol{B}^{-1} \end{aligned} \]

Kronecker Product and MVN Likelihoods

If we have a spatiotemporal random effect with a separable form, \[ \boldsymbol{w}(\boldsymbol{s},\boldsymbol{t}) \sim \mathcal{N}(\boldsymbol{0},\, \boldsymbol{\Sigma}_w) \] \[ \boldsymbol{\Sigma}_w = \sigma^2 \, \boldsymbol{H}_s \otimes \boldsymbol{H}_t \]

then the likelihood for \(\boldsymbol{w}\) is given by

\[ \begin{aligned} &-\frac{n}{2}\log 2\pi - \frac{1}{2} \log |\boldsymbol{\Sigma_w}| - \frac{1}{2} \boldsymbol{w}^t \boldsymbol{\Sigma_w}^{-1} \boldsymbol{w} \\ = &-\frac{n}{2}\log 2\pi - \frac{1}{2} \log \left[ (\sigma^2)^{n_t \cdot n_s} |\boldsymbol{H_s}|^{n_t} |\boldsymbol{H_t}|^{n_s}\right] - \frac{1}{2\sigma^2} \boldsymbol{w}^t (\boldsymbol{H}_s^{-1} \otimes \boldsymbol{H}_t^{-1}) \boldsymbol{w} \end{aligned} \]

Non-seperable Models

  • Additive and separable models are still somewhat limiting

  • Cannot treat spatiotemporal covariances as 3d observations

  • Possible alternatives:

    • Specialized spatiotemporal covariance functions, i.e.

\[ \gamma(\boldsymbol{s},\boldsymbol{s}', t,t') = \sigma^2 (\lvert t - t'\rvert+1)^{-1} \exp\big(-\lVert\boldsymbol{s}-\boldsymbol{s}'\rVert (\lvert t-t' \rvert + 1)^{-\beta/2}\big) \]

* Mixtures of separable covariances, i.e.

\[ w(\boldsymbol{s},t) = w_1(\boldsymbol{s},t) + w_2(\boldsymbol{s},t) \]