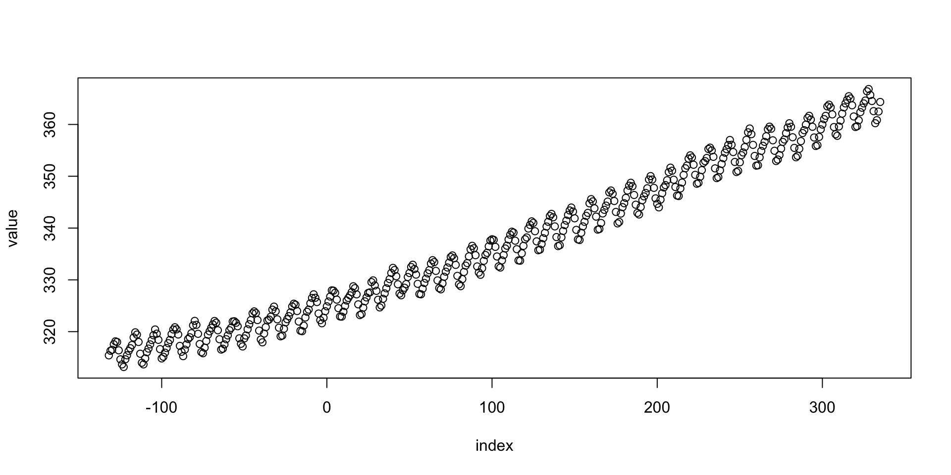
Jan Feb Mar Apr May Jun
1959 315.42 316.31 316.50 317.56 318.13 318.00
1960 316.27 316.81 317.42 318.87 319.87 319.43
1961 316.73 317.54 318.38 319.31 320.42 319.61
1962 317.78 318.40 319.53 320.42 320.85 320.45
1963 318.58 318.92 319.70 321.22 322.08 321.31
1964 319.41 320.07 320.74 321.40 322.06 321.73
1965 319.27 320.28 320.73 321.97 322.00 321.71
1966 320.46 321.43 322.23 323.54 323.91 323.59
1967 322.17 322.34 322.88 324.25 324.83 323.93
1968 322.40 322.99 323.73 324.86 325.40 325.20
1969 323.83 324.26 325.47 326.50 327.21 326.54
1970 324.89 325.82 326.77 327.97 327.91 327.50
1971 326.01 326.51 327.01 327.62 328.76 328.40
1972 326.60 327.47 327.58 329.56 329.90 328.92
1973 328.37 329.40 330.14 331.33 332.31 331.90
1974 329.18 330.55 331.32 332.48 332.92 332.08
1975 330.23 331.25 331.87 333.14 333.80 333.43
1976 331.58 332.39 333.33 334.41 334.71 334.17
1977 332.75 333.24 334.53 335.90 336.57 336.10
1978 334.80 335.22 336.47 337.59 337.84 337.72
1979 336.05 336.59 337.79 338.71 339.30 339.12
1980 337.84 338.19 339.91 340.60 341.29 341.00
1981 339.06 340.30 341.21 342.33 342.74 342.08
1982 340.57 341.44 342.53 343.39 343.96 343.18
1983 341.20 342.35 342.93 344.77 345.58 345.14
1984 343.52 344.33 345.11 346.88 347.25 346.62
1985 344.79 345.82 347.25 348.17 348.74 348.07
1986 346.11 346.78 347.68 349.37 350.03 349.37
1987 347.84 348.29 349.23 350.80 351.66 351.07
1988 350.25 351.54 352.05 353.41 354.04 353.62
1989 352.60 352.92 353.53 355.26 355.52 354.97
1990 353.50 354.55 355.23 356.04 357.00 356.07
1991 354.59 355.63 357.03 358.48 359.22 358.12
1992 355.88 356.63 357.72 359.07 359.58 359.17
1993 356.63 357.10 358.32 359.41 360.23 359.55
1994 358.34 358.89 359.95 361.25 361.67 360.94
1995 359.98 361.03 361.66 363.48 363.82 363.30
1996 362.09 363.29 364.06 364.76 365.45 365.01
1997 363.23 364.06 364.61 366.40 366.84 365.68
Jul Aug Sep Oct Nov Dec
1959 316.39 314.65 313.68 313.18 314.66 315.43
1960 318.01 315.74 314.00 313.68 314.84 316.03
1961 318.42 316.63 314.83 315.16 315.94 316.85
1962 319.45 317.25 316.11 315.27 316.53 317.53
1963 319.58 317.61 316.05 315.83 316.91 318.20
1964 320.27 318.54 316.54 316.71 317.53 318.55
1965 321.05 318.71 317.66 317.14 318.70 319.25
1966 322.24 320.20 318.48 317.94 319.63 320.87
1967 322.38 320.76 319.10 319.24 320.56 321.80
1968 323.98 321.95 320.18 320.09 321.16 322.74
1969 325.72 323.50 322.22 321.62 322.69 323.95
1970 326.18 324.53 322.93 322.90 323.85 324.96
1971 327.20 325.27 323.20 323.40 324.63 325.85
1972 327.88 326.16 324.68 325.04 326.34 327.39
1973 330.70 329.15 327.35 327.02 327.99 328.48
1974 331.01 329.23 327.27 327.21 328.29 329.41
1975 331.73 329.90 328.40 328.17 329.32 330.59
1976 332.89 330.77 329.14 328.78 330.14 331.52
1977 334.76 332.59 331.42 330.98 332.24 333.68
1978 336.37 334.51 332.60 332.38 333.75 334.78
1979 337.56 335.92 333.75 333.70 335.12 336.56
1980 339.39 337.43 335.72 335.84 336.93 338.04
1981 340.32 338.26 336.52 336.68 338.19 339.44
1982 341.88 339.65 337.81 337.69 339.09 340.32
1983 343.81 342.21 339.69 339.82 340.98 342.82
1984 345.22 343.11 340.90 341.18 342.80 344.04
1985 346.38 344.51 342.92 342.62 344.06 345.38
1986 347.76 345.73 344.68 343.99 345.48 346.72
1987 349.33 347.92 346.27 346.18 347.64 348.78
1988 352.22 350.27 348.55 348.72 349.91 351.18
1989 353.75 351.52 349.64 349.83 351.14 352.37
1990 354.67 352.76 350.82 351.04 352.69 354.07
1991 356.06 353.92 352.05 352.11 353.64 354.89
1992 356.94 354.92 352.94 353.23 354.09 355.33
1993 357.53 355.48 353.67 353.95 355.30 356.78
1994 359.55 357.49 355.84 356.00 357.59 359.05
1995 361.94 359.50 358.11 357.80 359.61 360.74
1996 363.70 361.54 359.51 359.65 360.80 362.38
1997 364.52 362.57 360.24 360.83 362.49 364.34



























