Logistic Regression and Residual Analysis

Lecture 05

Dr. Colin Rundel

Lecture 4 wrap up

Last time

aids
# A tibble: 13 × 2
    year cases
   <int> <int>
 1  1981    12
 2  1982    14
 3  1983    33
 4  1984    50
 5  1985    67
 6  1986    74
 7  1987   123
 8  1988   141
 9  1989   165
10  1990   204
11  1991   253
12  1992   246
13  1993   240

Model Fit

g = glm(cases~year, data=aids, family=poisson)
g_pred = broom::augment(
  g, type.predict = "response", 
  newdata = tibble(year=seq(1981,1993,by=0.1))
)

aids_base + 
  geom_line(data=g_pred, aes(y=.fitted), size=1.2, alpha=0.3)

Residuals

Bayesian Poisson Regression Model

( g_bayes = brms::brm(
    cases~year, data=aids, family=poisson,
    silent=2, refresh=0
) )
 Family: poisson 
  Links: mu = log 
Formula: cases ~ year 
   Data: aids (Number of observations: 13) 
  Draws: 4 chains, each with iter = 2000; warmup = 1000; thin = 1;
         total post-warmup draws = 4000

Population-Level Effects: 
          Estimate Est.Error l-95% CI u-95% CI Rhat Bulk_ESS Tail_ESS
Intercept  -397.28     15.38  -427.88  -368.22 1.00     1568     1582
year          0.20      0.01     0.19     0.22 1.00     1569     1582

Draws were sampled using sampling(NUTS). For each parameter, Bulk_ESS
and Tail_ESS are effective sample size measures, and Rhat is the potential
scale reduction factor on split chains (at convergence, Rhat = 1).

Model priors

brms::prior_summary(g_bayes)
                  prior     class coef group resp dpar nlpar lb ub       source
                 (flat)         b                                       default
                 (flat)         b year                             (vectorized)
 student_t(3, 4.8, 2.5) Intercept                                       default

MCMC Diagnostics

plot(g_bayes)

Posterior Predictive Check

brms::pp_check(g_bayes, ndraws=100)

Model fit - \(\lambda\) CI

aids_base +
  tidybayes::stat_lineribbon(
    data = tidybayes::epred_draws(
      g_bayes,
      newdata = tibble(year=seq(1981,1993,by=0.1))
    ),
    aes(y=.epred),
    alpha=0.25
  )

Model fit - \(Y\) CI

aids_base +
  tidybayes::stat_lineribbon(
    data = tidybayes::predicted_draws(
      g_bayes,
      newdata = tibble(year=seq(1981,1993,by=0.1))
    ),
    aes(y=.prediction),
    alpha=0.25
  )

Residuals

( g_bayes_resid = residual_draws_fix(
  g_bayes, newdata = aids
) )
# A tibble: 52,000 × 7
    year cases  .row .chain .iteration .draw .residual
   <int> <int> <int>  <int>      <int> <int>     <dbl>
 1  1981    12     1      1          1     1     -11.4
 2  1981    12     1      1          2     2     -14.0
 3  1981    12     1      1          3     3     -13.1
 4  1981    12     1      1          4     4     -12.2
 5  1981    12     1      1          5     5     -12.0
 6  1981    12     1      1          6     6     -19.8
 7  1981    12     1      1          7     7     -18.7
 8  1981    12     1      1          8     8     -18.7
 9  1981    12     1      1          9     9     -20.3
10  1981    12     1      1         10    10     -19.5
# … with 51,990 more rows

Residual plot

g_bayes_resid |> 
  ggplot(aes(y = .residual, x = year, color=as.factor(.chain), group=.chain)) +
    tidybayes::stat_pointinterval(alpha=0.2) +
    geom_hline(yintercept = 0, color='grey', linetype=2)

Standardized residuals?

residual_draws_fix(
  g_bayes, newdata = aids, type = "pearson"
) |> 
  ggplot(aes(y = .residual, x = year, color=as.factor(.chain), group=.chain)) +
    tidybayes::stat_pointinterval(alpha=0.2) +
    geom_hline(yintercept = 0, color='grey', linetype=2)

Model performance - rmse, crps

predicted_draws_fix(g_bayes, newdata = aids) |>
  group_by(.chain, .row) |>
  summarize(
    rmse = yardstick::rmse_vec(cases, .prediction),
    crps = calc_crps(.prediction, cases)
  ) |>
  group_by(.chain) |>
  summarize(
    rmse = mean(rmse),
    crps = mean(crps)
  )
# A tibble: 4 × 3
  .chain  rmse  crps
   <int> <dbl> <dbl>
1      1  26.3  17.7
2      2  26.1  17.5
3      3  26.3  17.7
4      4  26.3  17.8

Model performance - emp coverage

predicted_draws_fix(g_bayes, newdata = aids) |>
  group_by(.row, cases) |>
  tidybayes::mean_hdi(
    .prediction, .width = c(0.5,0.9,0.95)
  ) |>
  mutate(contains = cases >= .lower & cases <= .upper) %>%
  group_by(.width) |>
  summarize(
    emp_cov = sum(contains)/n()
  )
# A tibble: 3 × 2
  .width emp_cov
   <dbl>   <dbl>
1   0.5    0.154
2   0.9    0.385
3   0.95   0.462

Updating the model

Quadratic fit

g2 = glm(cases~year+I(year^2), data=aids, family=poisson)

g2_pred = broom::augment(
  g2, type.predict = "response",
  newdata=tibble(year=seq(1981,1993,by=0.1))
) 

Quadratic fit - residuals

Bayesian quadratic fit

( g2_bayes = brms::brm(
  cases~year+I(year^2), data=aids, family=poisson,
  silent=2, refresh=0
) )
 Family: poisson 
  Links: mu = log 
Formula: cases ~ year + I(year^2) 
   Data: aids (Number of observations: 13) 
  Draws: 4 chains, each with iter = 2000; warmup = 1000; thin = 1;
         total post-warmup draws = 4000

Population-Level Effects: 
          Estimate Est.Error  l-95% CI u-95% CI Rhat Bulk_ESS Tail_ESS
Intercept -8538.33  15758.51 -35873.48  1378.93 3.72        4       11
year         -0.23      1.21     -1.59     1.32 3.73        4       11
IyearE2       0.00      0.00     -0.00     0.01 3.56        4       11

Draws were sampled using sampling(NUTS). For each parameter, Bulk_ESS
and Tail_ESS are effective sample size measures, and Rhat is the potential
scale reduction factor on split chains (at convergence, Rhat = 1).

Diagnostics

plot(g2_bayes)

Bayesian quadratic fit (fixed)

( g2_bayes = brms::brm(
  cases~I(year-min(year))+I((year-min(year))^2), data=aids, family=poisson,
  silent=2, refresh=0
) )
 Family: poisson 
  Links: mu = log 
Formula: cases ~ I(year - min(year)) + I((year - min(year))^2) 
   Data: aids (Number of observations: 13) 
  Draws: 4 chains, each with iter = 2000; warmup = 1000; thin = 1;
         total post-warmup draws = 4000

Population-Level Effects: 
                Estimate Est.Error l-95% CI u-95% CI Rhat Bulk_ESS Tail_ESS
Intercept           2.43      0.14     2.14     2.70 1.00     1012     1259
IyearMminyear       0.51      0.04     0.44     0.59 1.00     1079     1342
IyearMminyearE2    -0.02      0.00    -0.03    -0.02 1.00     1180     1408

Draws were sampled using sampling(NUTS). For each parameter, Bulk_ESS
and Tail_ESS are effective sample size measures, and Rhat is the potential
scale reduction factor on split chains (at convergence, Rhat = 1).

Diagnostics

plot(g2_bayes)

PP Checks

brms::pp_check(g2_bayes, ndraws=100)

Model fit - \(Y\) CI

aids_base +
  tidybayes::stat_lineribbon(
    data = g2_bayes_pred, aes(y=.prediction), alpha=0.25
  )

Residuals

residual_draws_fix(g2_bayes, newdata = aids) |> 
  ggplot(aes(y = .residual, x = year, color=as.factor(.chain), group=.chain)) +
    tidybayes::stat_pointinterval(alpha=0.2) +
    geom_hline(yintercept = 0, color='grey', linetype=2)

Model performance - rmse, crps

predicted_draws_fix(g2_bayes, newdata = aids) |>
  group_by(.chain, .row) |>
  summarize(
    rmse = yardstick::rmse_vec(cases, .prediction),
    crps = calc_crps(.prediction, cases)
  ) |>
  group_by(.chain) |>
  summarize(
    rmse = mean(rmse),
    crps = mean(crps)
  )
# A tibble: 4 × 3
  .chain  rmse  crps
   <int> <dbl> <dbl>
1      1  14.1  5.19
2      2  14.2  5.06
3      3  14.2  5.09
4      4  14.2  4.99

Model performance - emp coverage

predicted_draws_fix(g2_bayes, newdata = aids) |>
  group_by(.row, cases) |>
  tidybayes::mean_hdi(
    .prediction, .width = c(0.5,0.9,0.95)
  ) |>
  mutate(contains = cases >= .lower & cases <= .upper) %>%
  group_by(.width) |>
  summarize(
    emp_cov = sum(contains)/n()
  )
# A tibble: 3 × 2
  .width emp_cov
   <dbl>   <dbl>
1   0.5    0.692
2   0.9    1    
3   0.95   1    

Logistic regression

Logistic regression as a GLM

This is another case of a generalized linear model, specifically where the outcome is 0-1 data (i.e. Bernoulli draws),

\[ \begin{aligned} Y_i &\sim \text{Bern}(p_i)\\ \text{logit} \, E(Y_i|\boldsymbol{X}_{i\cdot}) &= \text{logit}(p_i) = \underset{1 \times p}{\boldsymbol{X}_{i\cdot}}\underset{p \times 1}{\boldsymbol{\beta}} \\ \\ E(Y_i) &= p_i \\ Var(Y_i) &= p_i(1-p_i) \\ \\ \text{logit}(p_i) &= \log \frac{p_i}{1-p_i} \\ \text{logit}^{-1}(x) &= \frac{\exp(x)}{1+\exp(x)} = \frac{1}{1+\exp(-x)} \end{aligned} \]

Background

Next we’ll be looking at data on the presence and absence of the short-finned eel (Anguilla australis) at a number of sites in New Zealand.

These data come from

  • Leathwick, J. R., Elith, J., Chadderton, W. L., Rowe, D. and Hastie, T. (2008), Dispersal, disturbance and the contrasting biogeographies of New Zealand’s diadromous and non-diadromous fish species. Journal of Biogeography, 35: 1481–1497.

Species Distribution

Codebook:

  • presence - presence (1) or absence (0) of Anguilla australis at the sampling location

  • SegSumT - Summer air temperature (degrees C)

  • DSDist - Distance to coast (km)

  • DSMaxSlope - Maximum downstream slope (degrees)

  • USRainDays - days per month with rain greater than 25 mm

  • USSlope - average slope in the upstream catchment (degrees)

  • USNative - area with indigenous forest (proportion)

  • DSDam - Presence of known downstream obstructions, mostly dams

  • Method - fishing method (electric, net, spot, trap, or mixture)

  • LocSed - weighted average of proportional cover of bed sediment

    1. mud
    2. sand
    3. fine gravel
    4. coarse gravel
    1. cobble
    2. boulder
    3. bedrock

Data

load("data/anguilla.Rdata")
( anguilla = as_tibble(anguilla) )
# A tibble: 824 × 10
   presence SegSumT DSDist DSMaxSl…¹ USRai…² USSlope USNat…³ DSDam Method LocSed
      <int>   <dbl>  <dbl>     <dbl>   <dbl>   <dbl>   <dbl> <int> <fct>   <dbl>
 1        0    16    50.2       0.57   2.47      9.8    0.81     0 elect…    4.8
 2        1    18.7 133.        1.15   1.15      8.3    0.34     0 elect…    2  
 3        0    18.3 107.        0.57   0.847     0.4    0        0 spo       1  
 4        0    16.7 167.        1.72   0.21      0.4    0.22     1 elect…    4  
 5        1    17.2   3.95      1.15   1.98     21.9    0.96     0 elect…    4.7
 6        0    15.1  11.2       1.72   3.3      25.7    1        0 elect…    4.5
 7        0    12.7  42.4       2.86   0.43      9.6    0.09     0 elect…    4.3
 8        1    18.2  94.4       3.43   0.847    20.5    0.92     0 elect…    3.6
 9        0    14.9  45.7       2.29   2.25      3.9    0.38     0 elect…    3.7
10        1    18.3  91.9       1.72   0.861     6.7    0.58     1 elect…    1  
# … with 814 more rows, and abbreviated variable names ¹​DSMaxSlope,
#   ²​USRainDays, ³​USNative

Test / train split

set.seed(20220908)
part = rsample::initial_split(anguilla, prop = 3/4)

anguilla_train = rsample::training(part)
anguilla_test  = rsample::testing(part)
dim(anguilla_train)
[1] 618  10
dim(anguilla_test)
[1] 206  10

EDA

EDA (part 1)

EDA (part 2)

EDA (part 3)

Basic Model

Model

g = glm(presence~SegSumT, family=binomial, data=anguilla_train)
summary(g)

Call:
glm(formula = presence ~ SegSumT, family = binomial, data = anguilla_train)

Deviance Residuals: 
    Min       1Q   Median       3Q      Max  
-1.4707  -0.6598  -0.3759  -0.1417   2.8815  

Coefficients:
             Estimate Std. Error z value Pr(>|z|)    
(Intercept) -15.02201    1.53770  -9.769   <2e-16 ***
SegSumT       0.80047    0.08726   9.173   <2e-16 ***
---
Signif. codes:  0 '***' 0.001 '**' 0.01 '*' 0.05 '.' 0.1 ' ' 1

(Dispersion parameter for binomial family taken to be 1)

    Null deviance: 627.81  on 617  degrees of freedom
Residual deviance: 501.93  on 616  degrees of freedom
AIC: 505.93

Number of Fisher Scoring iterations: 5

Fit

( g_pred = broom::augment(g, type.predict = "response") )
# A tibble: 618 × 8
   presence SegSumT .fitted .resid .std.resid    .hat .sigma   .cooksd
      <int>   <dbl>   <dbl>  <dbl>      <dbl>   <dbl>  <dbl>     <dbl>
 1        0    16.4  0.131  -0.529     -0.530 0.00260  0.903 0.000197 
 2        1    17.1  0.209   1.77       1.77  0.00232  0.901 0.00443  
 3        0    14    0.0216 -0.209     -0.209 0.00231  0.903 0.0000256
 4        0    18.2  0.389  -0.992     -0.994 0.00364  0.903 0.00117  
 5        0    15.6  0.0735 -0.391     -0.391 0.00286  0.903 0.000114 
 6        0    18.3  0.408  -1.02      -1.03  0.00395  0.902 0.00137  
 7        0    18.5  0.447  -1.09      -1.09  0.00466  0.902 0.00190  
 8        0    16.2  0.114  -0.491     -0.492 0.00270  0.903 0.000174 
 9        0    18    0.351  -0.930     -0.932 0.00313  0.903 0.000853 
10        1    17.3  0.236   1.70       1.70  0.00233  0.901 0.00379  
# … with 608 more rows

Visually

Separation

ggplot(g_pred, aes(x=.fitted, y=presence, color=as.factor(presence))) +
  geom_jitter(height=0.1, alpha=0.5) +
  labs(color="presence")

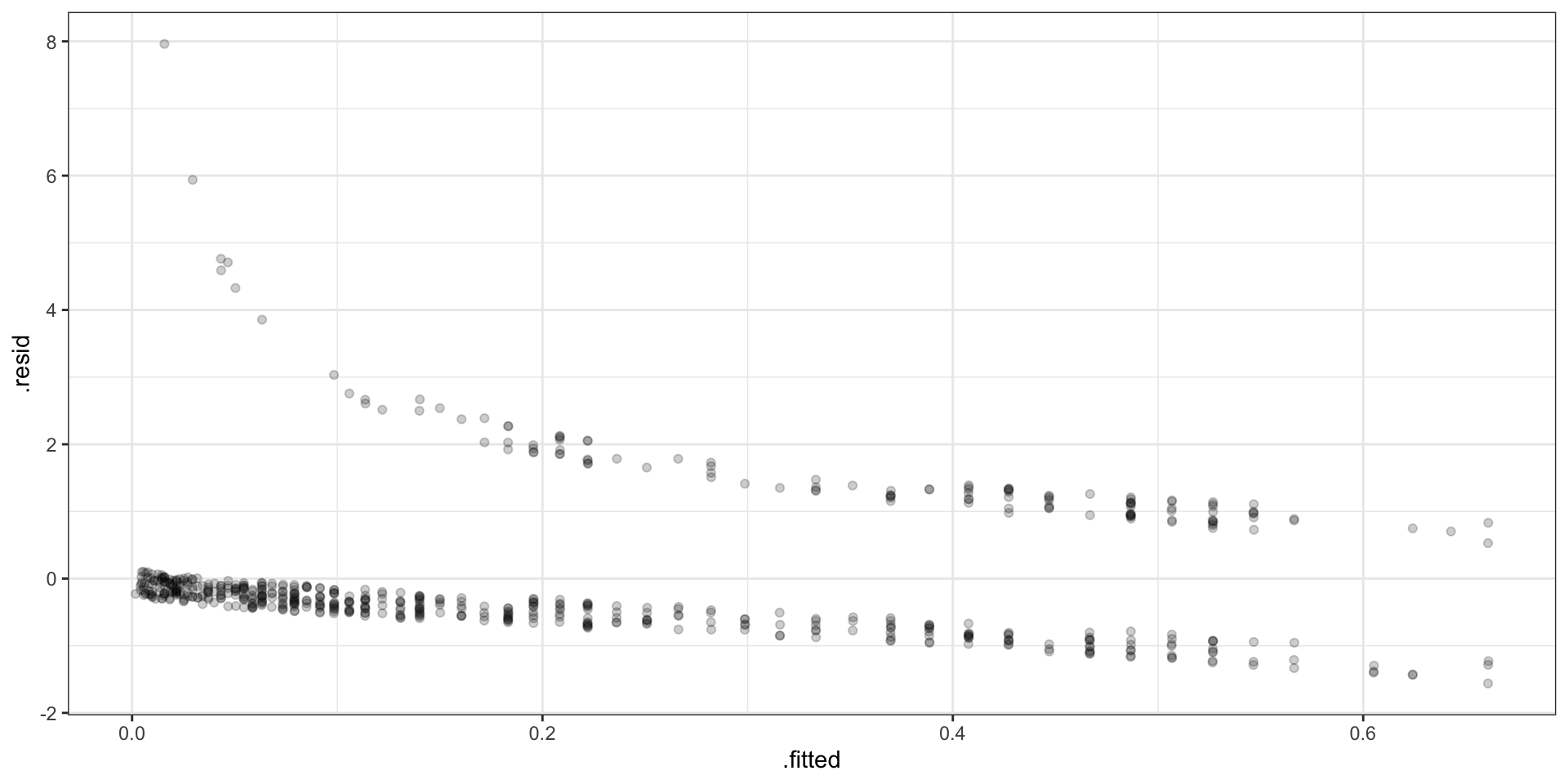
Standard Residuals

g_std =  broom::augment(g, type.predict = "response") |>
  mutate(.resid = presence - .fitted)

Binned Residuals

bin_width = 0.05
g_std_bin = g_std |>
  mutate(bin = .fitted - (.fitted %% bin_width) + bin_width/2) |>
  group_by(bin) |>
  summarize(.resid_bin = mean(presence - .fitted))

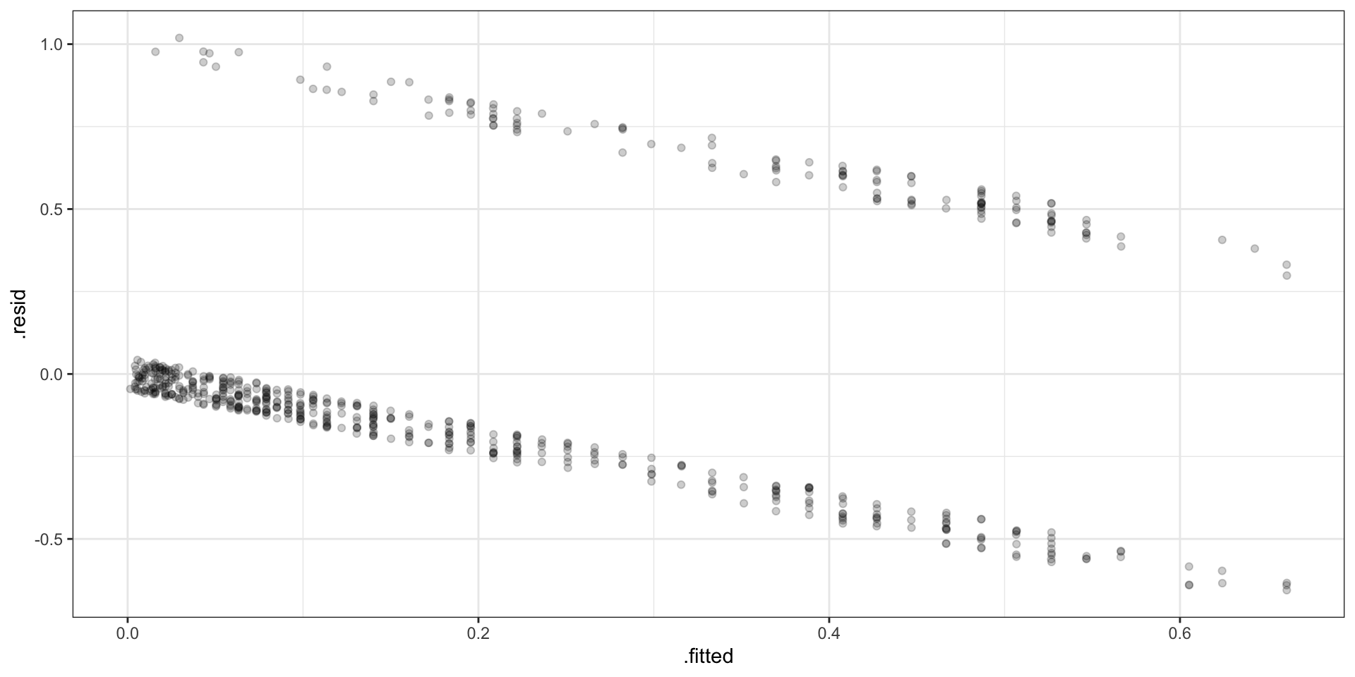
Pearson Residuals

\[ r_i = \frac{Y_i - E(Y_i)}{\sqrt{Var(Y_i)}} = \frac{Y_i - \hat{p}_i}{\sqrt{\hat{p}_i(1-\hat{p}_i)}} \]

g_pearson = broom::augment(
  g, type.predict="response", 
  type.residuals="pearson"
)

Binned Pearson Residuals

g_pearson_bin = g_pearson |>
  mutate(bin = .fitted - (.fitted %% bin_width) + bin_width/2) |>
  group_by(bin) |>
  summarize(.resid_bin = mean(.resid))

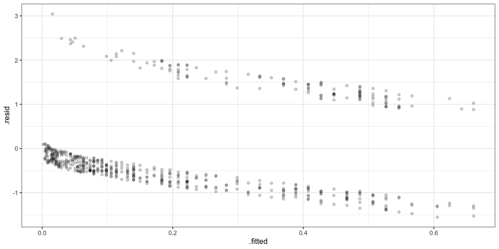
Deviance Residuals

\[ \begin{aligned} d_i = &\text{sign}(Y_i-\hat{p_i}) \, \times \\ &\sqrt{ -2 \left(Y_i \log \hat{p}_i+(1-Y_i)\log (1 - \hat{p}_i) \right) } \end{aligned} \]

g_deviance = broom::augment(
  g, type.predict = "response", 
  type.residuals = "deviance"
)

Binned Deviance Residuals

g_deviance_bin = g_deviance |>
  mutate(bin = .fitted - (.fitted %% bin_width) + bin_width/2) |>
  group_by(bin) |>
  summarize(.resid_bin = mean(.resid))

Checking Deviance

g

Call:  glm(formula = presence ~ SegSumT, family = binomial, data = anguilla_train)

Coefficients:
(Intercept)      SegSumT  
   -15.0220       0.8005  

Degrees of Freedom: 617 Total (i.e. Null);  616 Residual
Null Deviance:      627.8 
Residual Deviance: 501.9    AIC: 505.9
summarize(g_deviance, sum(.resid^2))
# A tibble: 1 × 1
  `sum(.resid^2)`
            <dbl>
1            502.